desHeader
v
"Birth-Death" Registration-Vital Section

Methodology :- Regarding the procedure of birth-death registration, there is proper provision in the "Birth-Death Registration Act, 1969, 2023 (Amendment)" and Chhattisgarh Birth-Death Registration Rules, 2001". The work of birth and death registration in the state is done by the Registrar (Birth-Death) of all the Gram Panchayats, all the urban bodies (Municipal Corporation / Municipal Council / Nagar Panchayat) and all the government hospitals. At present, online registration of birth and death is being done through the portal - https://dc.crsorgi.gov.in

Steps of Registration :-

  • Information of birth and death to be given to the registrar.
  • Registration of birth and death by the registrar.
  • Certificate of birth and death to be issued by the registrar.
  • Providing statistical information of birth and death to the district registrar.

  • Information of birth and death event –

    1. Birth and death in the house :- The head of the house or any other member can give information to the concerned registrar (birth-death) for registration of the birth-death event and can get the certificate after registration.

    2. Births and deaths in government hospitals :- The Registrar of the concerned hospital will register the birth and death event and issue a certificate.

    3. Births and deaths in private hospitals:- The in-charge of the concerned hospital will inform the Registrar of that area (Gram Panchayat/Municipal Corporation/Municipal Council/Nagar Panchayat) and the Registrar will register and issue a certificate.

    4. Births and deaths in other institutions (such as any Chawri, hostel, Dharamshala, restaurant, barrack, Toddy shop or public access place) :- The in-charge of the institution will inform the Registrar of that area (Gram Panchayat/Municipal Corporation/Municipal Council/Nagar Panchayat) and the Registrar will register and issue a certificate.

    Note :- The State Government has made special arrangements for registration of births and deaths at home in rural and urban areas through Gram Kotwar, Anganwadi workers/helpers, women/men health workers, govt. School Head Master/Principal, Mitanin, Trained Dai etc. have been notified as informants.

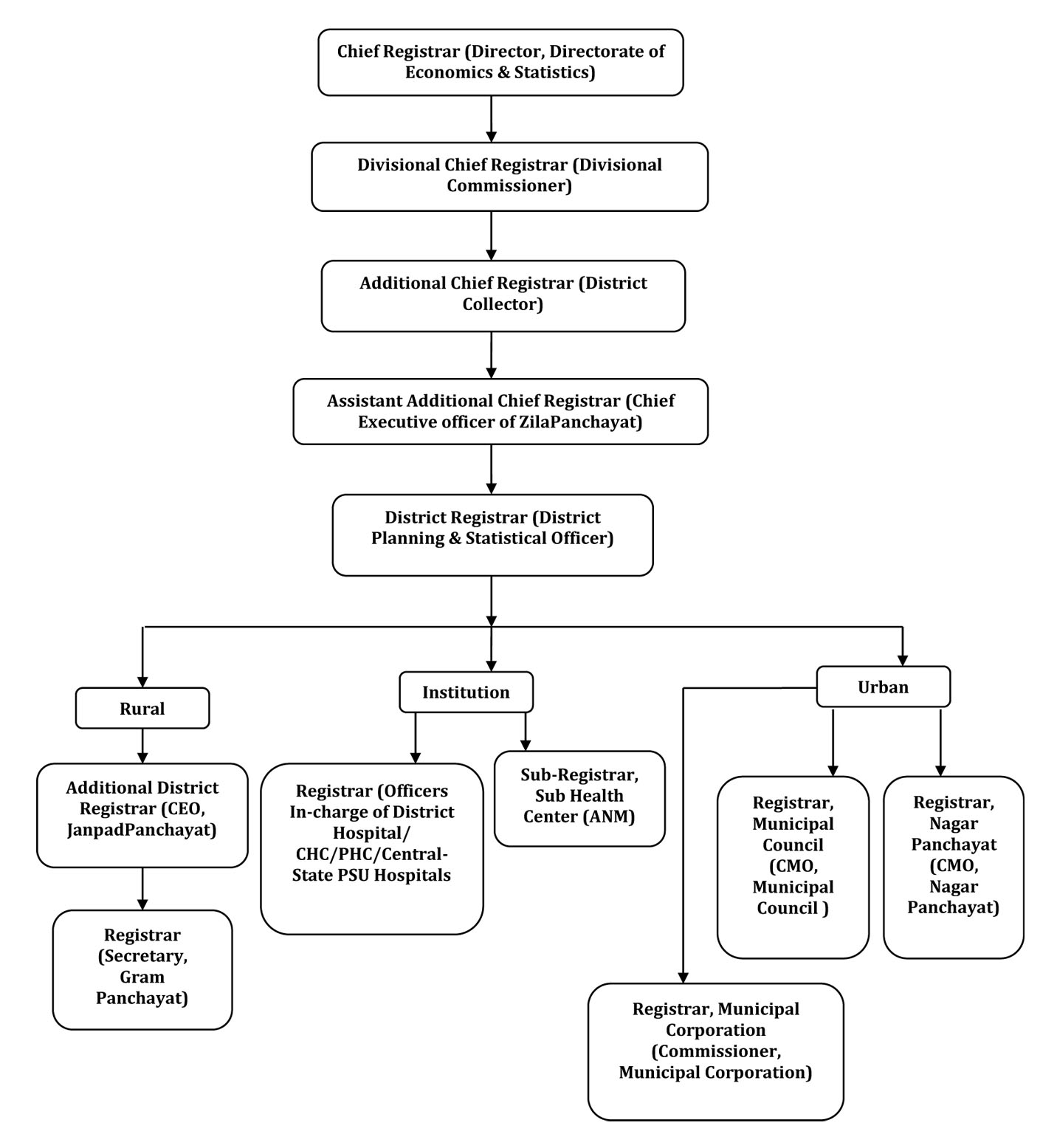
    Administrative structure in the state for implementation of Birth-Death Registration Act, 1969

    1. State level :- At the state level, the Director, Directorate of Economics and Statistics, Chhattisgarh Raipur has been assigned the responsibility of Chief Registrar (Birth-Death) and for his assistance, Joint Director (Vital Number), Deputy Director (Vital Number) and Assistant Director (Vital Number) Directorate of Economics and Statistics, Chhattisgarh have been assigned the responsibility of Joint Chief Registrar, Deputy Chief Registrar and Assistant Chief Registrar (Birth-Death) respectively. (State Notification dated 08/11/2007, and 05/07/2011)

    2. Division level:- At the division level, the Divisional Commissioner has been assigned the responsibility of Divisional Chief Registrar (Birth-Death). (By State Notification dated 05/07/2011)

    3. District Level:- At the district level, the Collector has been assigned the responsibility of Additional Chief Registrar (Birth-Death), Chief Executive Officer, District Panchayat has been assigned the responsibility of Assistant Additional Chief Registrar (Birth-Death), and District Planning and Statistics Officer has been assigned the responsibility of District Registrar (Birth-Death). The entire responsibility of coordination/monitoring/inspection and data collection of all the work related to birth-death registration at the district level has been assigned to the District Registrar. (State Notification dated 08/11/2007, and dated 05/07/2011)

    4. Urban Level:- In urban areas, the authority of Municipal Corporation, Municipal Council and Nagar Panchayats has been assigned the responsibility of Registrar (Birth-Death) for their jurisdiction area. (State Act dated 08/11/2007)

    5. Rural level:- In rural areas, the Chief Executive Officer, Janpad Panchayat has been assigned the responsibility of Additional District Registrar (Birth-Death) for his jurisdiction area and the Secretary of all the Gram Panchayats under him has been assigned the responsibility of Registrar (Birth-Death). (By State Notification dated 08/11/2007 and dated September 2014)

    6. Institutional:- All the government hospitals of the state, District Hospital, Community Health Center, Primary Health Center and Sub Health Center as well as the in-charges of hospitals in the public sector of Central-State Government have been assigned the responsibility of Registrar/Sub Registrar (Birth-Death) for their jurisdiction for institutional births, deaths and still births. (By State Act dated 05/07/2011 and dated September 2014)

    How to get birth registration done?

  • Get free registration done from the concerned registrar within 21 days of birth.
  • In case of delivery in a government hospital, get birth registration done in the same institution before discharge.
  • In case of birth at home or other place, inform Municipal Corporation/Municipality/Nagar Panchayat/Gram Panchayat for registration.
  • In case of birth in a private hospital, the officer in charge of the concerned institution will register the birth and send information to the rural/urban bodies of that area through online medium.
  • Birth registration can be done even without the name of the child, the name of the child will be added free of cost within 12 months from the date of birth registration.
  • After 12 months from the date of birth registration but within 15 years, the name of the child will be added on payment of prescribed fee.
  • Do not forget to get the certificate after getting the birth registered.
  • Birth certificate is an important document for legal identity and to avail benefits of government facilities.

  • Documents required for Birth registration :-

  • Proof of identity of mother and father (Aadhar card/voter ID card/ration card/driving license etc.)
  • Proof of residence (electricity bill/Aadhar card/voter ID card/ration card/driving license etc.)
  • Place of birth and date of birth in relation to the birth incident at home, verification certificate from councilor in urban bodies and Panchnama from Sarpanch/village members in rural bodies.

  • Benefits of Birth registration :-

  • First legal right and identity of the child.
  • Authentic document of date of birth, place of birth.
  • School admission, driving license, voting rights, passport.
  • Adding name in ration card etc.

  • How to get death registered?

  • Get free registration done from the concerned registrar within 21 days of death.
  • In case of death in a government hospital, get the death registered in the same institution before discharge.
  • For registration of death incident at home, inform the concerned Municipal Corporation, Municipality, Nagar Panchayat or Gram Panchayat.
  • Do not forget to take the certificate after getting the death registered.
  • Death certificate is an important document for payment of government facilities, bank, insurance claims for the dependents of the deceased.

  • Documents required for death registration :-

  • Proof of identity of the deceased (Aadhar card/voter ID card/ration card/driving license etc.)
  • Place and date of death for registration of death incident at home (letter certified by doctor/panchnama etc.)

  • Benefits of death registration :-

  • For the heir of the property.
  • To settle matters of pension and insurance etc.
  • To settle property claims.
  • For transfer of land.

  • How to get birth and death registration done after 21 days :-

  • Registration of birth-death incident can be done after 21 days and within 30 days by paying the prescribed fee and registration/certificate of the incident can be obtained from the Registrar (Birth-Death) (Gram Panchayat/Nagar Panchayat/Municipality/Municipal Corporation) related to the area of incident.
  • Registration of birth-death incident can be done after 31 days and within 01 year by submitting the required documents along with the application form before the Registrar (Birth-Death) for registration of the incident, after written permission of the authorized officer, registration/certificate of the incident can be obtained from the Registrar (Birth-Death) (Gram Panchayat/Nagar Panchayat/Municipality/Municipal Corporation) related to the area of incident by paying the prescribed fee.
  • On registration of birth-death incident after one year, after submitting the application before the Registrar (Birth-Death) by attaching the necessary documents and paying the prescribed fee, after the order of the First Class Magistrate or Executive Magistrate, registration/certificate of the incident can be obtained from the concerned Registrar (Birth-Death) (Gram Panchayat/Nagar Panchayat/Municipality/Municipal Corporation).

  • How to do online birth-death registration?

  • Through General Public Signup & https://dc.crsorgi.gov.in/crs/Auth/general-public-public portal, the general public can report only the incident that happened at home within 21 days of its occurrence.
  • After login, the user should fill the information of the birth/death reporting form completely. Attach the desired documents as well.
  • After registration, the information of the certificate will also be received on the provided E-mail id and mobile number.
  • If the incident has occurred more than 21 days ago, then contact the concerned registrar (birth-death) and get it registered.
  • The incident of a single birth/death can be registered with the login ID and if there is a case of twins/multiple, then registration can be done by giving separate information online for each child/deceased.

  • Information about Medical Certification of Death (MCCD) Form 4 and 4A:-

  • The Medical Certification of Cause of Death (MCCD) form certifies the cause of death.
  • In the Birth-Death Registration Act 2023 (amended), in the event of death in an institution, a copy of the medical certification form of the cause of death will be provided free of cost to the family of the deceased by the concerned doctor during the treatment of the deceased. In case of death at any place other than a medical institution/home, if the deceased has taken treatment/consultation from a doctor before his death, then the family of the deceased will be able to obtain the medical certification form of the cause of death from the concerned doctor.
  • In case of death due to any epidemic (eg. Covid-19) or any disease, the medical certification form of death is an important document to avail the benefits of any scheme announced by the Government.
  • In case of institutional death, Medical Certification Form 4 on the cause of death is filled by the attending doctor.
  • In case of death at home, if the death has been examined by a doctor before the death, then Medical Certification Form 4A regarding the cause of death is filled by the doctor after the death.

  • Details of fees related to birth and death registration :-

    Authority for delayed registration and fees payable for it-

    Duration 21 Days Exceeding 21 days and within 30 days Section 13(1) More than 30 days and within one year Section 13(2) More than one yearSection 13(3)
    Authorities giving orders/permissions Information in the prescribed form is to be provided in written or oral form to the Registrar / Sub Registrar Registrar/Sub Registrar District Registrar (Birth-Death) / District Planning and Statistics Officer Executive Magistrate
    Process Copy of birth-death certificate will be provided free of cost A copy of the birth-death certificate will be provided by the concerned Registrar (Birth-Death) after paying a fee of Rs. 2.00 With the written permission of the said officer and on presenting self-certified affidavit in the prescribed form and after verification by ANM/MPW/HM/PRIN/AWW. Fee– Amount Rs. 5.00 Any birth or death which has not been registered within one year of its occurrence may be registered on the orders of the Executive Magistrate after verification and late fee. Fee – Amount Rs. 10.00

    The fees payable for conducting search, issuing extract or non-availability certificate and others under section 17 shall be as follows:-

    Sr. Description Amount (Rs.)
    1 For search of a single entry in the first year for which search is conducted 2.00
    2 For each additional year for which search is continued 2.00
    3 To furnish extract relating to each birth or death 5.00
    4 To furnish non-availability certificate of birth or death 2.00
    5 Birth-Death Certificate – First Copy Free
    6 Birth-Death Certificate – Other Copy 5.00
    For the purpose of section 14 -
    Fee prescribed for adding name of child in birth registration
    1 On adding the name of the child within 12 months Free
    2 On adding the name of the child after 12 months and within a period of 15 years 5.00
    Note –As per notification number 393 of Chhattisgarh Gazette, dated 16th August 2023, a period of 5 years will be given for adding the name of the child from the date of publication of the notification.

    Penalty Under Section 23:-

    Sr. Description Penalty Amount (Rs.)
    1 Any person who fails to give notice of birth/death under sections 8 and 9, enters false particulars in the register or refuses to enter his name, description and place of residence and put signature/thumb impression in the register 250.00
    2 Any person in charge of a hospital/child care institution/surrogacy clinic/agency/other institution who fails to give notice of birth/death under sections 8 and 9, enters false particulars in the register or refuses to enter his name, description and place of residence and put signature/thumb impression in the register 1000.00
    3 Any Registrar/Sub-Registrar who neglects or refuses to register births/deaths taking place within his jurisdiction or to send the returns required by sub-section 1 of section 19 250.00
    4 Any medical practitioner who neglects or refuses to provide or furnish any certificate as required under sub-section (2) or sub-section (3) of section 10 or any person who neglects or refuses to supply such certificate to the Registrar 50.00
    5 Any person who fails to comply with any such provision of this Act Without reasonable cause, violates any provision of this Act, for the violation of which no penalty is mentioned in this section 250.00